当一件事情发生时,若某个参数是未知的,我们如何从事件的结果中推测出这个未知的参数呢?
例如,以抛一次硬币为一次实验,重复抛十次,实验结果为:反反反正反反反正反反。
实验结果:X={x1=T,x2=T,……,x10=T}(其中T表示反面朝上,H表示正面朝上)
如何通过实验结果来估计抛一次硬币,正面朝上的概率θ?
极大似然估计法

P(X|θ)可看做为一个自变量为θ的函数,求P(X|θ)对于θ的最大值点作为θ的极大似然估计。
因为每次试验都是独立进行的,所以互不相关,概率P(xi|θ)可以直接相乘,等于总概率P(X|θ)。
)对P(X|θ)取对数使其变为累加
通过导函数等于0求出θ=0.2,为θ的极大似然估计值。
最大后验概率
极大似然估计并没有事先考虑θ的分布情况,但根据我们的经验,硬币基本都是均匀的,所以θ取0.5的概率非常大。
这就是θ的先验概率,我们估计θ的值的时候还要把θ的分布考虑进去。
第二个式子是第一个式子用贝叶斯公式展开得到的,P(X)是样本中正面朝上的频率=0.2,是一个定值,与求最大值点的结果无关故舍去。
第三个式子为最终所得式,可以看到最大后验概率只比极大似然估计多乘了一个θ的分布函数。
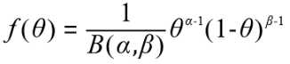
我们可以把θ的分布看为一个beta分布,则P(θ)可变为:
θ是一个连续型随机变量,则P(X|θ)可变为:
则对
取对数:
这里可以看出,θ的概率密度函数作为一个附加项也参与了最大值点的求解中,这里和机器学习中的正则化项非常相似。也就是增加了一个约束条件。
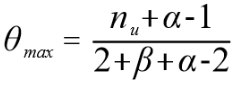
两边求偏导,并让其等于0:
解方程求得 θ 的最大后验概率为:
nu为正面朝上次数2。可见最大后验概率中包含了θ密度函数的两个参数,与θ的分布有关。