K- SVD :为稀疏表示设计过完备字典
稀疏表示
我们现在有:
一个样本向量y = [y1,y2,y3,…,yn].
一个字典D (size:n×M)
其中,D中的每一列
称为D的原子。
稀疏表示就是要用D的原子的线性组合来将y表示出来。换句话说,就是要解y=Dx这个方程组,并且这个x向量中的0元素越多越好(0越多越稀疏)。
但是,因为D的列数M远大于行数n(这就是所谓的过完备),学过线性代数的人都知道,这样会导致这个方程组有无穷多解。所以我们要从这些解中找到一个最稀疏的精确解x。
但是精确确定最稀疏的解被证明是np难问题(其实说白了,你要在无穷多的解中找出一个最稀疏的,你是不是要把所有解都求出来呢?这个计算量是个天文数字),所以,我们退而求其次,求出一个近似精确的解:
是L0范数,是向量非0元素的个数。
稀疏编码:追踪算法
稀疏编码就是根据给定的y和字典D来计算稀疏解x(x也被称作稀疏系数)的过程,追踪算法是用来求解近似稀疏解的算法。
因为求解确定的y=Dx解被证明是np难问题,所以通过追踪算法来求解y≈Dx的近似解。
用的比较多的是正交匹配追踪(OMP)和欠定系统局灶解法(FOCUSS)。
K-SVD 算法
在之前所说的稀疏表示求解过程中,字典D都是事先确定好的,固定不变。如何通过一组训练数据,通过训练使字典D更加适合这些数据呢?这就是k-svd的用武之地。它通过一组给定的训练向量,在严格的稀疏性的限制下,寻找一个能使训练集中的每一个成员都实现最优的表示的字典。
那么字典的更新具体是如何进行的呢?这是一个迭代的过程,分为下面两步:
1.在当前字典的基础上更新样本的稀疏系数。
2.更新字典,使其更加适应于数据。
1,2步交替进行,直到字典D和稀疏系数x都不再变化,即达到收敛。
k-svd非常灵活,可以与任何追踪算法一起工作(步骤1)。
k-means 聚类算法的扩展
k-svd中的k是什么意思呢?它表示k-svd算法是k-means聚类算法的扩展。
如果向量y只能被字典D中的其中一个原子表示(计算y到D中每个原子的欧氏距离,选择距离最近的原子作为y的稀疏表示)那么这将是一种极端的稀疏表示,并且乘以该原子的稀疏系数x只有一个非0元素且值为1.而这就是k-means算法的内容。
k-svd和k-means的不同之处在于,稀疏系数x可以有多个非0元素而且可以取任意值。
而相似之处在于,k-means中更新聚类中心的过程对应着k-svd中更新字典原子的过程,而k-svd中的对稀疏系数的更新对应着k-means中对各个样本所属类的更新。k-means中也是不断迭代这两个过程,直到达到收敛。
k-svd算法内容
k-svd分为两步:
1.在当前字典的基础上更新样本的稀疏系数。
2.更新字典,使其更加适应于数据。
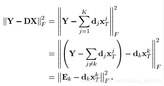
由于要一次处理多个样本向量,所以式子变为了这样:
其中
Y表示有k个样本向量的矩阵,X表示每个样本向量对应的稀疏系数组成的矩阵。
size: Y:n×K,D:n×M , X:M×K
先说第一步:
第一步主要是在字典D固定的条件下,更新稀疏矩阵X。
因为
所以,更新X的操作可分解为K次单独更新X的每一列。
i=1,2,….,K.
这样,问题又回到了简单的只有一个y向量的情况,任何一种追踪算法都可解决。
再来说说第二步,用SVD更新字典D:
我们将DX分解为K个秩1矩阵之和,这里每个秩1矩阵都是D中第k列乘X中第k行(k=1,2,…,M)。
秩1矩阵:秩为1的矩阵,可表示为一个列向量乘以一个行向量的形式。
对于字典D的更新,我们依次更新字典D中的第k列dk和X中与其对应的第k行
,更新时固定D中其他行和X中其他列,直到D中所有列和X中的所有行都更新完为止。
损失函数改变为:
更新D中第k列时,将
提出来,剩下的就是固定不变的了。与Y合并为Ek。
这里就有一个问题,如果用SVD直接求出:
然后取U的第一列和V的第一行作为更新后的dk和xkt(x的第k行),确实可以使损失函数达到最小值,但是这样可能完全改变xkt,使其失去稀疏性,这样第一步做的工作都白费了。
k-svd的解决方法是,每次只有xkt中的非0元素参与更新。
首先,记录xkt中的非0元素的索引组成wk。
如:
然后构造矩阵Ωk,size:M×|wk| ,在第(wk(i),i)处,元素为1,其余都是0。
|wk|的大小等于wk元素的个数。
如:
这样,使
xRk就是xTk丢弃掉0元素后仅剩非0元素的向量。
同理:
size:n×|wk| (xTk保留第1,4个元素,Y保留第1,4列)
size:n×|wk| (也是保留和xTk非零元素对应的列)
至此,式

变为:
我们通过对EkR矩阵进行svd分解:
取U第一列和[VT第一行*sigma第一个元素]作为更新后的dk和xk。
将字典中的M个原子都更新完成之后,字典D和稀疏系数矩阵X均更新完成。步骤2完成。
重复步骤1和步骤2,当D和X不再变化时,达到收敛。停止迭代。
下面是k-svd算法的完整表示: